[提要]实现共同富裕是社会主义的本质要求。在数字经济条件下如何促进共同富裕的实现具有较强的理论和现实意义。从理论上看,数字经济可以通过互补效应和本地市场效应等促进市场化程度的提升,通过消除市场分割实现产业的非中心化,通过降低金融支持门槛提升共同富裕。文章采用Bootstrap有调节的中介效应分析方法,验证了数字经济对共同富裕的传导机制,研究结果发现:数字经济对共同富裕具有正向的直接效应和正向的中介效应,中介效应大于直接效应,但无论是直接效应还是中介效应都不太显著。进一步,文章基于门槛效应模型分析了中介效应不显著的原因,研究发现,当产业去中心化程度达到0.7986时,数字经济可以显著地提升共同富裕的程度。
[关键词]数字经济;共同富裕;金融支持;高质量发展;数字鸿沟
基金项目:国家社会科学基金重点项目“数字经济推动高质量发展的政治经济学研究”(20AJL004)、国家社会科学基金重点项目“中国特色社会主义政治经济学生成逻辑和创新路径研究”(17AKS008)阶段性成果。
作者简介:刘儒,色情影片
教授,博士,研究方向:政治经济学;张艺伟,色情影片
博士研究生,研究方向:政治经济学。
一、引言和文献综述
共同富裕是社会主义的本质特征。新中国成立以后实行计划经济,虽然全民之间的贫富差距较小,但是物质生活远远不能满足人民的需要。改革开放以后,对社会主义的认识由传统的同步富裕转变为一部分先富起来,同时带动共同富裕,在政策导向上就是“效率优先,兼顾公平”。由此中国经济实现了快速增长,到2020年底中国GDP规模达到15.92万亿美元,人均GDP达到1.17万美元,超过中等收入国家平均水平。但是与此同时,中国的贫富差距持续拉大,衡量贫富差距的基尼系数为0.45左右,超过联合国0.40的警戒线。对于贫富差距扩大的原因,大部分研究者认为,包括流动人口收入分布、非农经营收入和财产收入的变化,导致收入差距扩大(罗楚亮,李实,2021)[1]。如何持续降低贫富差距,实现共同富裕,是未来政策重点关注所在。
共同富裕的传统观点认为,实现“效率优先,兼顾公平”的政策是实现经济增长的必然选择,也是实现共同富裕的必经阶段(陈宗胜,2018)[2](P.28)。Kuznets(1955)[3]提出了经济增长与收入分配差距变化趋势的“倒U”型假说,后来学者围绕这个假说进行了实证研究。Costinot,Arnaud(2019)[4]、陆铭和向宽虎(2014)[5]认为,经济增长是福利国家发展的最终动因,但凡经济快速增长的国家都是比较富裕的国家。因此各类型国家的首要任务是促进经济增长,在此基础上促进劳动者报酬的提升,降低资本所有者的报酬。同时,不断深化分工,如果经济发展能够不断逼近基于专业化和多样化发展的完全分工的均势经济状态,共同富裕将会伴随财富总量增长而最终实现(向国成等,2017)[6];黎蔺娴和边恕(2021)[7]通过NIGIC曲线和FFL-OB分解技术,构建了包容性增长的识别和分解方法以及不同收入群体间福利增长的状况;刘李华和孙早(2021)[8]在统一增长理论的框架下引入收入不平等因素,构建了一个人口数量、不平等和经济增长同时内生的理论模型,研究发现收入不平等与经济增长之间呈现倒U型关系。其次,在经济发展的同时,需要二次分配的调节作用,Acemoglu,D.(2008)[9]认为福利国家本身就是现代化发展的成果,一个国家二次分配能力的提升自然也就是经济财富积累基础上的现代化果实。经济增长是福利国家发展的最终动因,“效率优先,兼顾公平”会导致贫富差距拉大,必然需要二次分配来逐渐缩小贫富差距。二次分配主要采用税收调节和转移支付等方式,财政作为国家治理的基础和重要支柱,是促进社会财富增加的关键工具和实现财富合理分配的直接手段,要构建和完善现代财政制度,发挥现代财政的共同富裕职能,科学合理安排财政政策工具,不断推进共同富裕的实现(杜江,龚浩,2020)[10];持续推进收入分配制度改革,提高“相对贫困”治理能力,贯彻国际国内双循环的高质量发展(陈燕,2021)[11];中国共产党的百年征程表明税收制度改革的实践与共同富裕思想的形成发展相互促进,二者进行了历史性的重要互动,在中国特色社会主义新时代,应继续通过改革税收制度有效推进共同富裕的实现(周锟,2021)[12]。除了财政转移支付和对口支援等途径之外,经济增长的空间外溢效应也是一个非常重要的途径,尽管这种作用仍然存在争议,作用的有效范围有限,而且其程度也存在差异(覃成林,杨霞,2017)[13]。对于地区收入差距的影响因素,国内外学者进行了大量研究,包括经济开放(袁冬梅,魏后凯,2011;[14]张小溪,刘同山,2020[15])、资本深化(董直庆等,2014)[16]、技术进步或产业结构转型(Krusell et al.,2000;[17]郭凯明,罗敏,2021[18])、资源禀赋和区位选择等(Krugman P,1991;[19]邓睦军,龚勤林,2018[20])。对于降低收入差距,需要以高质量经济发展进一步夯实共同富裕的物质基础,以高水平改革创新破解发展不均衡的现实矛盾,以高效能治理体系构建共同富裕的发展格局(陈新,2021)[21]。
近年来,包括人工智能、量子信息、区块链、物联网、5G移动网络等在内的数字经济在国民经济中起到越来越重要的作用,数字技术与实体经济的不断融合,催生了很多新的模式,也带动了产业结构和经济发展方式的转变,对于不同地域的要素参与者都产生了积极深远的影响(Ahn, Jong-Soon,2020;[22]戚聿东,褚席,2021[23])。数字经济发展对于收入差距的影响分别体现在个人收入差距、地区收入差距和城乡收入差距。在个人收入差距上,数字经济发展将对不同技能劳动力的供求关系产生影响,从而影响不同技能劳动力之间的收入差距,数字经济通过改变高低技能劳动力的供求关系而加剧高低技能劳动力的收入差距(刘军等,2021)[24]。新技术革命往往都是偏向于技术性进步,因此来说就会相应地减少对劳动力的需求。但是因为偏向于技术,因此在劳动力结构上,会促进技术性劳动力需求的增加。在城乡收入差距上,数字经济发展能够显著缩小城乡收入差距,并且在城镇化水平程度较低阶段,其缩小城乡收入差距的作用越大;在经济发展相对较低的中西部地区,数字经济发展对城乡收入差距的缩小作用更大(柳江,赵兴花,2020)[25];在地区收入差距上,数字经济对于促进收入增长有巨大的推动作用劳动力,数字经济与区域收入之间存在较强的关联性,较高的数字经济增长动力对应的地区收入也处于较高水平(陈修颖,苗振龙,2021)[26];而且数字经济的不均衡发展,导致出现“数字鸿沟”,数字化普及与数字化技能的非均衡配置制约了欠发达地区发展,反而加剧了地区差距(胡鞍钢,王蔚,2016[27];田海燕,李秀敏,2018[28])。综合来看,由于数据资料的限制,关于数字经济与收入分配影响的文献多从理论的视角进行分析,即使是采用实证分析也存在方法单一,不能精确反映数字经济对收入分配的影响,更不用说对共同富裕影响的研究。本文基于空间外溢效应的视角,针对数字经济对地区收入差距的影响进行实证分析,研究数字经济与共同富裕,并考察财政科教支出的调节效应,补充和完善了数字经济影响地区差距的传导机制。
二、数字经济影响共同富裕的机制
(一)数字经济影响共同富裕的直接效应
数字经济对共同富裕的直接影响为市场一体化效应。从国内市场角度看,数字经济通过减少市场分割促进市场一体化促进共同富裕。随着中国市场经济的发展,地区之间的分割程度不断降低,区域间经济发展差距扩大而使得区域之间的沟壑部分加大。部分研究表明,改革开放后的中国区域间市场分割程度比以前更大(李善同,2016)[29]。在很多方面,还存在较大程度的市场分割效应,特别是经济发展程度不高的地区,由于竞争效应,对地方政府还存在一定的市场保护政策,限制了国内地区间产业分工的发展,另外对于资源密集的地区,产业结构升级的难度还非常大,形成“资源诅咒”,以前信息不发达,存在较大的信息差,区域内的企业和个体从业者也难以获取足够的市场信息,因而只在封闭区域内竞争。但是随着数字技术的发展,区域产业化可以更加分散,数据和信息可以跨区域流动,产业链在区域内的聚集程度出现下降,产业链开始变得更短,更加分散。特别是数字平台的发展,为产品经营者和消费者之间进行准确匹配。中国地域广阔,不同地域之间的产业结构存在较大的差异。东部沿海地区已经完成了工业化,第二产业占据主导地位,主要面向出口市场。中西部地区虽然地域辽阔,但工业化进程不足,部分地区还以第一产业为主。对于第一产业来说,特别是传统农产品存在市场范围狭小,物流交通不便等制约因素,数字经济的快速发展,使得农产品可以在全国范围内自由流通,为农业生产者减少了信息不对称的问题,增强了生产者信息整合和协作的能力,降低整体经济活动的交易成本、物流成本、技术成本、广告营销成本等,从而提升农业生产者的市场空间,促进农民收入的提升,降低收入差距。
从国际市场看,数字经济通过规模经济促进共同富裕。全球价值链的发展,各区域按照各自的要素禀赋参与国际分工,从而获得各自的专业化利益。所以专业化分工的发展,促进各国寻找自身在全球价值链的位置,各国内部不同区域和不同要素群体,通过全球化都可以找到自身参与全球市场的分工所在。但是,由于贸易壁垒和自身条件限制,很多产品不是可贸易品,无法参与国际分工。数字技术的发展,降低了交易成本,改变了贸易品的种类,使得原来非出口部门变为出口部门,其密集使用的要素收益就会提升,从而达到提升收入实现共同富裕的目标。
(二)数字经济影响共同富裕的去中心化效应
数字经济影响共同富裕的间接影响体现在产业去中心化效应。数字技术的发展,可以使得数据和信息非常便利地实现跨区域的转移,对于产业链不同环节的企业来说,产业集聚的必要性大幅降低,特别是工业互联网的发展,产业链不同环节的企业可以在数字平台实现对接,而消费互联网的发展使得生产者和消费者的距离可以无限拉长。因此,区位优势在数字经济条件下就变得不太重要。数字经济会导致产业链更加碎片化和分散化,从而导致去中心化。
数字经济将各种类型的生产者聚集到虚拟空间中,这种既注重分工效益也注重整合效益的生产方式,改变了企业的组织结构和空间分布结构。企业通过数字技术参与到国内或者全球价值链体系中,实现横向模块化分工,生产本区域具有比较优势的产品,激发了企业家精神,采用新技术参与到新产品开发中,在分工协作中不断提高经济增长水平和质量,从而缩小地区差距。需要澄清的是,数字经济的模块化效应是否能缩小地区差距,是以某区域是否具备分工协作能力为前提条件的,其本质是区域是否具备内生发展能力,只有具备感知和生产差异化产品的能力,并积极参与到价值链分工中,才能提升人均收入水平。否则,本地区在数字经济下人均收入将相对降低。从全国来看,各区域普遍存在产业结构同质化,未能够有效发挥出比较优势。因此,数字经济对地区差距的影响不确定。[30]生产者的地理集聚不会因为互联网的发展而消退,反而在互联网的蓬勃发展下而呈现出不断加强的趋势,进而向多中心集聚的地理格局演变。从新经济地理学角度来说,产业集聚的主要影响因素是交易成本,尤其是交通运输成本;交易成本越低,越有利于企业集聚,那么在数字经济的作用下,通过海量数据的分析以及算法的优化迅速降低了交通运输成本,提高了货物运输效率,增强了产品在产销间的匹配能力,因此,数字经济能够推动集聚经济的形成。其次,就本地市场效应而言,虽然新经济地理学“中心-外围”模型指出集聚经济导致的地区差距不可逆转,但越来越深入的研究发现,集聚经济与区域协调并不冲突,在生产要素自由流动的情况下,劳动、资本、技术向大城市进一步集聚,一方面流入的要素收益通过各种形式回流到要素拥有者居住地,那么发达地区与欠发达地区人均收入差距呈缩小状态;另一方面欠发达地区虽然生产要素减少了,但在要素边际报酬递减的作用下,每一单位要素的回报率提升了,最终从整体来看,在实现集聚经济的同时完成了人均意义上的区域协调发展。但由于现行的户籍制度、区域保护政策、对外务工歧视政策均不利于生产要素跨区域的自由流动,因此数字经济的发展常常表现出与缩小地区差距背道而驰的现象。
(三)数字经济影响共同富裕的金融支持效应
数字经济对共同富裕的影响还体现在降低金融支持门槛和促进创业。数字金融的发展,使得在传统金融环境下难以获得金融支持的从业者较方便地获取金融服务,缓解了金融困境。根据金融深化理论,数字普惠金融通过门槛效应、减贫效应、排除效应可以显著缩小城乡居民收入差距。[31]数字经济可以降低各个市场的准入门槛,加速市场的竞争,使得各类型企业有公平的竞争环境,促进小微企业和各类型创业企业的发展。西南财经大学中国家庭金融调查与研究中心和阿里研究院的报告显示:全国家庭平均创业比例约为5.9%,数字经济在缩小城乡收入差距和预防贫困等方面起到了巨大的推动作用。
三、数字经济影响共同富裕的实证研究
(一)模型设定
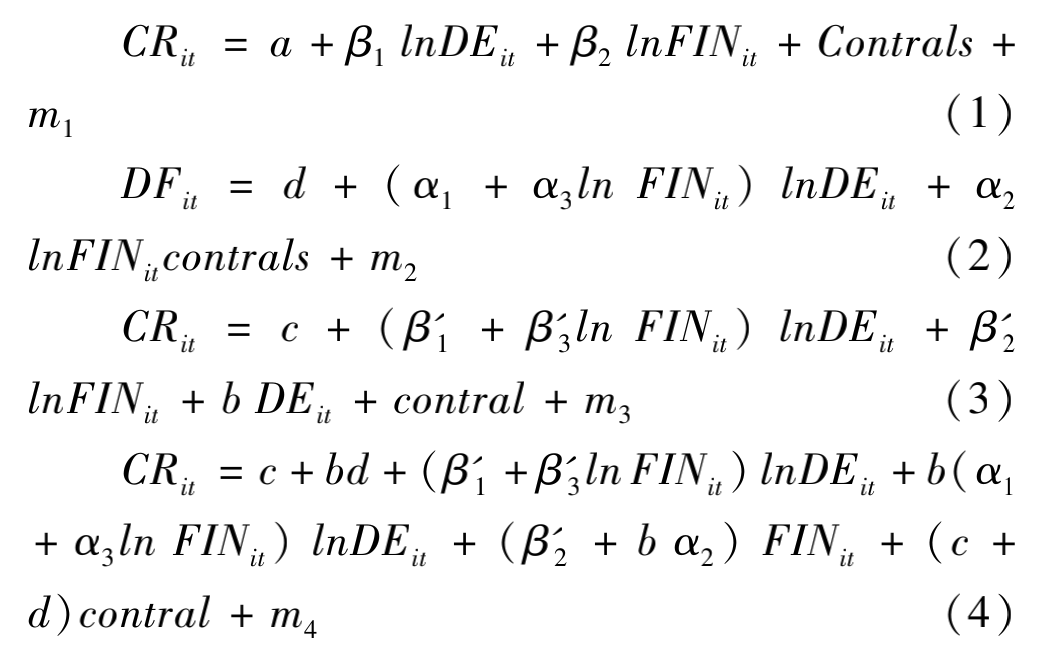
为检验传导机制中的相关结论,本文采用非参数百分位Bootstrap方法进行分析和检验,对数字经济和共同富裕的直接效应、中介效应、金融支持的调节效应进行分析,并对其稳健性进行检验。模型设定如下:

方程(1)表示数字经济对共同富裕的总效应;方程(2)表示数字经济对市场一体化的效应;方程(3)表示将总效应分解为数字经济的直接效应和中介的间接效应。将(2)带入式(3),得到方程(4),直接效应为β'1+β'3lnFINit,中介效应为b(α1+α3lnFINit)。
(二)变量分析
1.被解释变量
地区间共同富裕指数(CR),采用空间马尔科夫链的方法计算共同富裕指标,Markov链能很好分析系统内部的转移规律,揭示地区经济动态演变趋势,但是传统Markov链对于邻域地区的影响作用无法测量,随着经济一体化的发展,各地之间的要素流动日益频繁,一个地区的收入水平会受到另外一个地区的影响。因此,为更好地考察共同富裕程度,我们计划在空间马尔科夫链框架下,将传统马尔科夫与空间自相关相结合来构建空间马尔科夫,对于一个马尔可夫链,在给定过去的状态X0,X1,…,Xn-1和现在的状态Xn时,将来的状态Xn+1的条件分布独立于过去的状态,而只依赖于现在的状态。pij表示过程处在状态i时,下一次转移到状态j的概率。由于概率值非负且过程必须转移到某个状态,所以有
pij≥0, i,j≥0(即i,j∈I);
pij=1, i=0,1,2,…(即i∈I)
我们称P{Xn+1=j|Xn=i}=pij为Markov链{Xn,n=0,1,2,…}的转移概率。

也就是i省份不同市县人均可支配收入的偏离值的均值,指数越大,说明共同富裕指数越大。
2.核心自变量
(1)数字经济。目前研究数字经济一般是基于国家层面和行业层面,对于地区层面的数字经济规模尚没有测度。在行业上,根据《国民经济行业分类(2017)》,数字经济生产包括C-39、I-64和I-65的相关行业,C-39对应投入产出表中的“通信设备、计算机和其他电子设备”门类,I-64和I-65则对应投入产出表中的“信息传输、软件和信息技术服务”门类,将二者的产出增加值相加便是地区该年度数字经济生产的增加值。投入产出表是五年编制一次,未编制年份的数字经济增加值则需要通过统计年鉴数据和工具系数进行估算。具体为,通过已知年份的“通信设备、计算机和其他电子设备”增加值占“制造业”总增加值的比重获得“通信设备、计算机和其他电子设备”的增加值结构系数,也即数字经济调整系数,假设数字经济调整系数在短期内不发生变化,结合地区各年制造业增加值可获得缺失年份“通信设备、计算机和其他电子设备”增加值;依此,同样可获得“信息传输、软件和信息技术服务”缺失年份的增加值。对于数字经济的地区差异度,借鉴许宪春和张美慧(2021)[32]、韩兆安等,(2021)[33]的研究方法,基于地区投入产出表,先计算需要对数字经济增加值和总产出等进行估算,假设数字经济中间消耗占数字经济总产出的比重与相应产业中间消耗占总产出的比重相同,在估算过程中需要借助以下工具系数:行业增加值结构系数。由于中国地区投入产出表中只提供了42个门类产品的投入产出值及增加值数据,需要引入“增加值结构系数”来推算数字经济相关行业的增加值数据,公式为:



(3)金融支持(FIN):无论是数字产业化还是产业数字化,都需要大量的资金支持,资金既可能来自传统的金融机构,也可能来自科技金融的普惠贷款。我们以各地区年末贷款余额代表金融支持。
数据来源:本文选取2001-2020年中国30个省市的有关数据进行实证分析。部分数据来自国家统计局数据资料库和《中国人口和就业统计年鉴》等。
3.样本特征分析


从共同富裕指数看,东部沿海地区的共同富裕程度比较高,而这一区域的经济发展程度较高,对外开放的程度也比较大。最高的为上海,达到0.54,浙江达到0.394。相对于经济发展程度,广东地区的共同富裕程度较低,仅为0.2593,与其经济规模不相适应。说明广东地区存在较大的贫富差距,特别表现在沿海地区较富裕,而广东的西部地区经济发展程度较低。江苏与广东的情况基本相同,也存在较大的发展不均衡,苏南和苏北之间的差距较大。可以看出,中国经济规模前三位的广东、江苏和山东的共同富裕程度有待提高,而浙江作为中国经济高质量发展的共同富裕先行示范区实至名归。从表中我们也可以看出西部地区的共同富裕指数也较高,虽然经济规模不大,但地区之间的差距并不大。
我们也分析了数字经济发展程度、市场化程度和产业去中心化水平。数字经济的发展程度与经济规模相类似,长三角、珠三角和京津冀三个地区的数字经济发展水平较高,广东、江苏、北京位列前三位,四川和重庆的数字经济发展水平也较高,这主要是由于我们的数字经济发展水平包括了产业数字化和数字产业化两个方面,数字产业化中包含了信息基础设施ICT等硬件产品的生产,而这个部分在数字经济中的比例较高,数字产业化部分虽然近年快速增长,但其基础较低,在全部数字经济中还不占主导地位,这也是浙江虽然数字产业化在全国名列前茅,但是整体数字经济水平与其他地区没有拉开差距。从市场化程度看,我们的计算指标比较小,但仍然可以看到各地区的区别,天津、辽宁和青海等地区的市场化程度较低,而长三角的市场化程度较高。从产业去中心化程度看,中国产业去中心化程度具有东强西弱、南强北弱的空间分布特征,非中心化程度呈现出自东向西梯度递减的特征,南方制造业数值高于北方,同时,由于东部地区近年来的产业转移,中西部地区也出现了较强规模的非中心化效应。
(三)基准回归结果
根据上述研究方法,我们采用非参数百分位Bootstrap方法实证分析数字经济对于地区间共同富裕的影响,期间存在直接效应和中介效应,我们首先验证直接效应和中介效应的显著性。从表3可以看出,95%的置信区间不包含0,所以直接效应和中介效应不显著,我们接着验证调节效应,依据调节变量均值和均值加减一个标准差,分成三个部分,如果不同组的直接效应或者中介效应都不显著的时候,调节效应也就不显著,如果不同组别存在混合的显著性或者都呈显著性,则调节效应显著。
(1)数字经济对地区间共同富裕的影响的直接效应为正但不显著。我们的中介变量为产业去中心化,调节变量为金融支持,根据表2的结果,可以看出,财政支出均值情况下产业去中心化为中介变量的直接效用为0.013,但是显著性检验没有通过,说明数字经济的发展,可以为落后地区提供更广阔的市场和参与分工机会,使得原来不能参与国内和国际分工的地区在数字经济发展的情况下利用电商平台和跨境电商平台,实现销售市场的扩大和价格的提升,最终实现收入水平的提升。但是数字经济的发展还存在层次性,从中国的实践来看,中部地区部分省份利用数字经济发展提升了收入水平,但是西部地区部分省份由于交通运输等条件的限制,还没有能充分享受数字经济的好处,所以数字经济能有效提升部分地区的收入水平,但是对于共同富裕的直接效应还不显著。

(2)数字经济对共同富裕的中介效应为正且没有通过1%水平的显著性检验。根据表3可以看出,产业去中心化均值水平下,中介效应为0.047,这说明数字经济下,数字技术的发展,以信息流为牵引,促进产业链中物流、资金流、商流的快速重组融合,催生出产业资源在线调配、协同制造、产能共享、跨区域写作等新的生产模式,降低了交易成本。线上交易规模的快速提升,使得原来大规模集中于少部分地区的产业集聚程度出现下降,推动了产业的去中心化,即使是落后地区也可以参与到分工中,实现收入的增加。而且由于传统的边际收益递减规律,落后地区的增长速度超过发达地区,从而实现共同富裕的目标。
金融支持无论是在直接效应中还是在间接效应中都发挥了正向调节作用,体现了金融支持在实现共同富裕过程中的重要作用。因此,金融支持通过支持数字经济,提高区域尤其是欠发达地区的人均收入,从而实现共同富裕。
(四)稳健性检验
稳健型检验主要通过替换相关指标实现,特别是因变量的共同富裕指标和数字经济指标。根据前述变量分析,我们采用收入差距的倒数指标替代因变量指标,使用泰尔指数代替数字经济规模。继续使用非参数百分位Bootstrap方法实证分析数字经济对于地区间共同富裕的影响,实证结果见表3。根据实证回归结果,数字经济对共同富裕的直接效应为正,在产业去中心化均值条件下没有通过1%的显著性检验;数字经济通过产业去中心化效应对地区共同富裕产生正向的中介效应,也没有通过1%水平下的显著性检验。稳健型检验的结果与基准结果基本一致。


(五)进一步解释
上面的研究发现,数字经济通过去中心化效应影响共同富裕,但是其显著性水平没有通过检验,有必要对其进一步分析。从数据可以看出,数字经济发展和共同富裕水平以及产业去中心化指数之间并不呈现严格的线性关系,存在明显的门槛效应,所以我们建立门槛效应模型分析其影响。对数字经济和共同富裕的市场化效应、产业去中心化效应、金融支持效应进行分析,并对其稳健性进行检验。模型设定如下:


i表示不同省份,t 表示不同年份,μit代表个体效应,φit代表时间效应,因变量CRit为i省份t年的共同富裕指数,核心自变量分别为DEit、MINit、IOEit和IFINit,分别表示i省份t年的数字经济发展水平、市场化指数、去中心化指数和金融支持水平,数字经济发展水平与市场化指数、去中心化指数和金融支持水平的交互项衡量数字经济对我国区域共同富裕程度影响的间接效应。表4的结果发现,数字经济发展对共同富裕的直接效应和间接效应均存在二阶门槛,所以,择二阶门槛进行估计。

根据表4的数据,数字经济对共同富裕的影响在0.7986存在门槛:当大于0.7986时,数字经济显著促进地区间的共同富裕;当去中心化指数处于0.7986和0.8682之间时,数字经济对共同富裕的影响效应显著增强;当去中心化指数低于0.7986时,数字经济对共同富裕没有影响,也就是说在产业去中心化程度低于0.7986时,数字经济的发展并不能促进落后地区的收入增加,反而有可能导致差距的进一步扩大。
从其他因素看,市场化程度和金融支持都显著地影响了共同富裕的程度,在1%的水平下显著,金融支持的影响系数达到0.1628,说明促进共同富裕,需要进一步加大对落后地区的金融支持力度。


四、结论和建议
从理论上看,数字经济可以促进市场一体化和模块化、促使产业去中心化等,进而促进共同富裕。在此基础上,采用Bootstrap有调节的中介效应分析方法,验证了数字经济对共同富裕的传导机制,研究发现:数字经济对共同富裕具有正向的直接效应和正向的中介效应,中介效应大于直接效应,但是无论是直接效应还是中介效应都不显著。进一步,我们分析了中介效应不显著的原因。基于门槛效应模型,研究发现:当去中心化程度达到0.7786时,数字经济可以显著地提升共同富裕的程度,低于0.7786时,数字经济对共同富裕的影响为负且不显著。根据以上结论,得到如下政策启示:
首先,推动数字经济特别是落后地区的数字经济发展,避免数字鸿沟。数字经济对共同富裕具有正向效应,因此有必要进一步促进数字经济发展。要加大数字基础设施的投资力度,对中西部地区和沿边地区的数字基建投资,加快5G和光纤宽带“双千兆”网络建设,合理布局云计算、边缘计算等算力基础设施,提升这些地区居民接近数字经济的便利性;推动产业数字化改造。对于经济不发达地区,依托自身区位优势和自然资源禀赋,加快传统基础设施数字化转型,推广部署工业互联网,打造智能化交通环境等。
其次,促进产业的非中心化。传统经济中,由于区位经济以及要素禀赋的差异,很多产业集聚在某一区域,形成产业集群和区域中心城市。而全球价值链的发展,强化了这一趋势。未来,随着数字经济的发展,产业互联网和消费互联网的进一步释放,产业的碎片化和去中心化趋势开始出现,某些在传统经济状态下无法参与国际和国内分工的地区,在数字经济条件下也可以更便利地参与,从而使其密集使用的要素获益,进而扩大市场和获取更多的国内外贸易收益。
最后,加大金融支持的力度。无论是数字产业化还是产业数字化,都需要大量的资金投入,而落后地区自身内生发展动力不足,就迫切需要外部资金的支持。通过资金支持,加大落后地区投资力度,提升人力资本水平。
参考文献:
[1]罗楚亮,李实,岳希明.中国居民收入差距变动分析(2013-2018)[J].中国社会科学,2021(1).
[2]陈宗胜.中国居民收入分配通论:由贫穷迈向共同富裕的中国道路与经验[M].北京:格致出版社,2018.
[3]Kuznets,S.Economics Growth and Income Inequality[J].American Economics Review,1955(1).
[4]Costinot, Arnaud and Ivan Werning.Lerner Symmetry: A Modern Treatmen[J].American Economic Review: Insights, 2019(1).
[5]陆铭,向宽虎.破解效率与平衡的冲突——论中国的区域发展战略[J].经济社会体制比较,2014(4).
[6]向国成,谌亭颖,钟世虎.分工、均势经济与共同富裕[J].世界经济文汇,2017(5).
[7]黎蔺娴,边恕.包容性增长的识别与分解[J].经济研究,2021(2).
[8]刘李华,孙早.收入不平等与经济增长:移动的库兹涅茨曲线[J].经济理论与经济管理,2021(9).
[9]Acemoglu, D., and V.Guerrieri.Capital Deepening and Non-balanced Economic Growth[J].Journal of Political Economy,2008(3).
[10]杜江,龚浩.新时代推进共同富裕实现的理论思考——基于财政的视角[J].求是学刊,2020(3).
[11]陈燕.中国共产党的共同富裕:理论演进与实现路径[J].科学社会主义,2021(3).
[12]周锟.百年党史中税收制度改革与共同富裕思想的重要互动[J].国际税收,2021(6).
[13]覃成林,杨霞.先富地区带动了其他地区共同富裕吗——基于空间外溢效应的分析[J].中国工业经济,2017(10).
[14]袁冬梅,魏后凯,杨焕.对外开放、贸易商品结构与中国城乡收入差距—基于省际面板数据的实证分析[J].中 国软科学,2011(6).
[15]张小溪,刘同山.经济开放对城乡收入差距的影响研究——基于省级面板数据的实证分析[J].重庆社会科学, 2020(11).
[16]董直庆,蔡啸,王林辉.技能溢价:基于技术进步方向的解释[J].中国社会科学,2014(10).
[17]Krusell, P., L.E.Ohanian, J.V.Rios -Rull, and G.L.Violante.Capital -Skill Complementarity and Inequality: A Macroeconomic Analysis[J].Econometrica, 2000(5).
[18]郭凯明,罗敏.有偏技术进步、产业结构转型与工资收入差距[J].中国工业经济,2021(3).
[19]Krugman P.Increasing returns and economic geography[J].Journal of Political Economy,1991(3).
[20]邓睦军,龚勤林.中国区域政策的空间属性与重构路径[J].中国软科,2018(4).
[21]陈新.马克思主义财富观下的共同富裕:现实图景及实践路径——兼论对福利政治的超越[J].浙江社会科学,2021(8).
[22]Ahn, Jong-Soon.The Politics of Social Pacts on Income Security in Digital Economies:Is Governments Role Significant?[J].Korean Journal of Social Science, 2020(1).
[23]戚聿东,褚席.数字经济发展、经济结构转型与跨越中等收入陷阱[J].财经研究,2021(7).
[24]刘军.制造业智能化对收入差距的影响研究[J].中国软科学,2021(3).
[25]柳江,赵兴花,程锐.数字经济改善城乡收入差距的门槛效应研究[J].开发研究.2020(6).
[26]陈修颖,苗振龙.数字经济增长动力与区域收入的空间分布规律[J].地理学报,2021(8).
[27]胡鞍钢,王蔚.中国开创“新经济”——从缩小“数字鸿沟”到收获“数字红利”[J].国家行政学院学报,2016(3).
[28]田海燕,李秀敏.财政科教支出、技术进步与区域经济协调发展——基于引致技术进步动态多区域CGE模型[J].财经研究,2018(12).
[29]李善同,吴三忙,高春亮.中国城市化速度预测分析[J].发展研究,2017(11).
[30]段博,邵传林.数字经济加剧了地区差距吗?——来自中国284个地级市的经验证据[J].世界地理研究,2020(4).
[31]梁双陆,刘培培.数字普惠金融与城乡收入差距[J].首都经济贸易大学学报,2019(1).
[32]许宪春,张美慧,张钟文.数字化转型与经济社会统计的挑战和创新[J].统计研究,2021(1).
[33]韩兆安,赵景峰,吴海珍.中国省际数字经济规模测算、非均衡性与地区差异研究[J].数量经济技术经济研究,2021(8).